
论文:Virtual trial assembly of large and complex bolted steel members assisted by terrestrial laser scanning and kinematic chain modeling.
DOI:https://doi.org/10.1016/j.autcon.2025.106416
1 研究背景
大型复杂桥梁钢结构的装配系统内部存在误差的传播和累积,这可能会导致装配失败,造成高昂的整改和运输成本。针对传统桥梁钢结构的实体预拼装方法成本高、效率低以及未能分析内部误差传递的缺点,本文借助三维激光扫描技术,提出了一种基于机器人运动链的螺栓连接桥梁钢结构智能数字化预拼装方法。为实现给工人提供最优的螺栓孔修正方案,建立了距离偏差与最大螺栓通孔率的映射。同时,针对常规节段和合拢节段,分别建立了两种不同的拼装优化方案。该研究可以定量分析由制作误差带来的拼装系统内部误差传播,提升了钢结构桥梁建造的智能化水平,为工程实践提供了技术支撑。
2.研究方法
①节点段点云预处理
在本研究提出的方法实施过程中,需要对节段的装配点和整体尺寸进行提取,用于后续的运动链模型建立和预拼装优化。首先基于随机采样一致性算法对节段点云进行主平面分割,得到节段两个主平面法向量,然后基于法向量进行节段轴对齐。接着基于BIM模型或图纸先验信息,进行带螺栓孔的板件分割。然后对带螺栓孔的板件进行平面提取,并完成孔壁点云和连接板点云分离。最后对螺栓孔点云聚类,完成孔心和直径拟合。

②运动链模型建立
钢结构桥梁装配系统中的节段可以看作是机器人运动链模型中的“关节”,因此首先需要进行节段简化。简化的原则基于节段的装配点坐标和装配系统中所承担的连接角色。在装配系统中,两侧为主梁节段,中间为横隔梁节段,因此主梁可简化为矩阵:

横隔梁可简化为矩阵:

然后需要在满足规范要求情况下赋予节段自由度。根据实际施工需求,对主梁两侧施加强制约束,即主梁两侧之间距离保持与设计值一致。装配系统内部的自由度为主梁可沿主轴方向进行平移(1个自由度)。在运动链误差传播模型中,为了提高整体螺栓通孔率,各节段Xi 沿水平方向移动ei ,则Xi 的累积误差为:


③预拼装优化
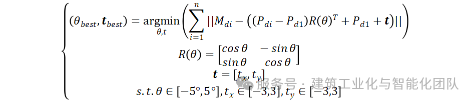
螺栓连接钢结构的预拼装的优化主要在于最小化螺栓孔修正次数。本研究建立了装配偏差与通孔率之间的映射关系,并提出了两种优化方案:第一种方案旨在最小化螺栓孔修正次数;第二种方案在确保两端构件位置等于设计值的前提下,同样追求最小化螺栓孔修正次数。具体而言,每个装配偏差对应一个最优通孔率σ,因为拼接板可以进行旋转和平移。距离偏差可以分为间距偏差和错位偏差,分别为主梁之间和主梁与横隔梁之间的偏差。拼接板的优化函数如下所示:

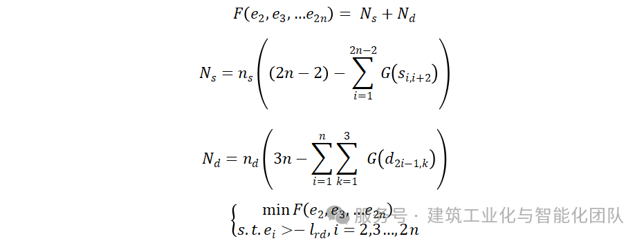
为确保装配成功,必须保证每个装配位置的σ值达到100%,通过修正拼接板的对应螺栓孔可满足该要求。因此提出基于最小化螺栓孔修正量的预拼装优化方法,采用粒子群优化算法获取最优解。优化函数为:

在桥梁合拢时,需要对两侧构件进行强制定位以完成安装,因此提出了基于最小节段坐标偏差的预拼装优化方法。优化函数如下:

3 研究结果
本研究提出的误差传播理论在重庆市大溪河特大桥进行了实际场景验证与应用。采用陆地式三维激光扫描仪扫描了6个主梁,9个横隔梁和对应的192块拼接板。单个主梁节段的螺栓孔数量达上千个,传统方法完成相应数量的节段的拼装需要至少15天时间和1000平方米的空间,成本较高。


本文提出的预拼装方法能够提供具体的螺栓孔修正方案,两种优化方案分别需要修正102个和309个螺栓孔。尽管基于最小节段坐标偏差的螺栓孔数量约为基于最小化螺栓孔修正量的三倍,但主要差异集中在主梁部位,这并未导致过度的修正时间与成本。本研究提出的方法仅需1名工人、1台陆地式三维激光扫描设备及1台计算机即可在5个工作日内完成。而根据施工经验,同等节段数量的组装至少需要15个工作日及10名工人。因此相较于实体预拼装,本方法更具效率优势。

误差传播和累积分析结果表明,节段5的绝对误差传播值最高,为1.27 mm,但其绝对累积误差最小,为0.44mm。这是因为节段3传播的正误差抵消了节段5的负误差。由此可得出以下结论:(1)单侧构件的误差不会传播至另一侧;(2)同一构件上所有装配点的累积误差相等,表明其误差来源相同;(3)构件的误差来源虽更多,但累积误差未必更高,因为误差来源可能相互抵消。


4 研究结论
为解决传统桥梁钢结构预拼装方法成本高、效率低且不能分析误差传播和累积的问题,本文提出一种基于机器人运动学链的数学模型,并将其应用于大型复杂钢结构节段的智能数字化预拼装分析。该模型在实际桥梁中得到验证,主要创新和结论如下:
(1) 所提出的运动链误差传播模型能清晰表达构件间的装配关系,具有创新性,可扩展至任意数量构件及其他类型钢结构。
(2) 构件间因制造偏差产生的误差存在传播与累积现象,且可定量分析。基于最小化螺栓孔修正量的预拼装结果显示:最大误差传播量为1.27毫米,最大误差累积量为2.21毫米。误差呈单向单侧传播,累积误差可能相互抵消。
(3)建立了距离偏差与最大螺栓通孔率的映射关系,能够提供需修正的螺栓孔的具体坐标。该方法经验证具有高效性与高可操作性。
通过对桥梁钢结构进行数字化预拼装和误差传播分析,所提出的方法有助于减少拼装成本,降低施工风险,缩短建设周期,为推动钢结构桥梁施工智能化提供强有力的技术支撑。